Новое поступление
Магазина vyeofar Light control Store работает с 28.02.2017. его рейтинг составлет 93.33 баллов из 100. В избранное добавили 886 покупателя. Средний рейтинг торваров продавца 4.7 в продаже представленно 592 наименований товаров, успешно доставлено 1541 заказов. 210 покупателей оставили отзывы о продавце.
Характеристики
*Текущая стоимость 11 336,87 уже могла изменится. Что бы узнать актуальную цену и проверить наличие товара, нажмите "Добавить в корзину"
| Месяц | Минимальная цена | Макс. стоимость | Цена |
|---|---|---|---|
| Mar-20-2026 | 13490.49 руб. | 14165.58 руб. | 13827.5 руб. |
| Feb-20-2026 | 13376.84 руб. | 14045.89 руб. | 13710.5 руб. |
| Jan-20-2026 | 11223.93 руб. | 11784.69 руб. | 11503.5 руб. |
| Dec-20-2025 | 13150.54 руб. | 13808.50 руб. | 13479 руб. |
| Nov-20-2025 | 11449.34 руб. | 12021.43 руб. | 11735 руб. |
| Oct-20-2025 | 12923.22 руб. | 13569.70 руб. | 13246 руб. |
| Sep-20-2025 | 12810.60 руб. | 13451.92 руб. | 13130.5 руб. |
| Aug-20-2025 | 12696.81 руб. | 13331.31 руб. | 13013.5 руб. |
| Jul-20-2025 | 12583.82 руб. | 13212.65 руб. | 12897.5 руб. |
Описание товара








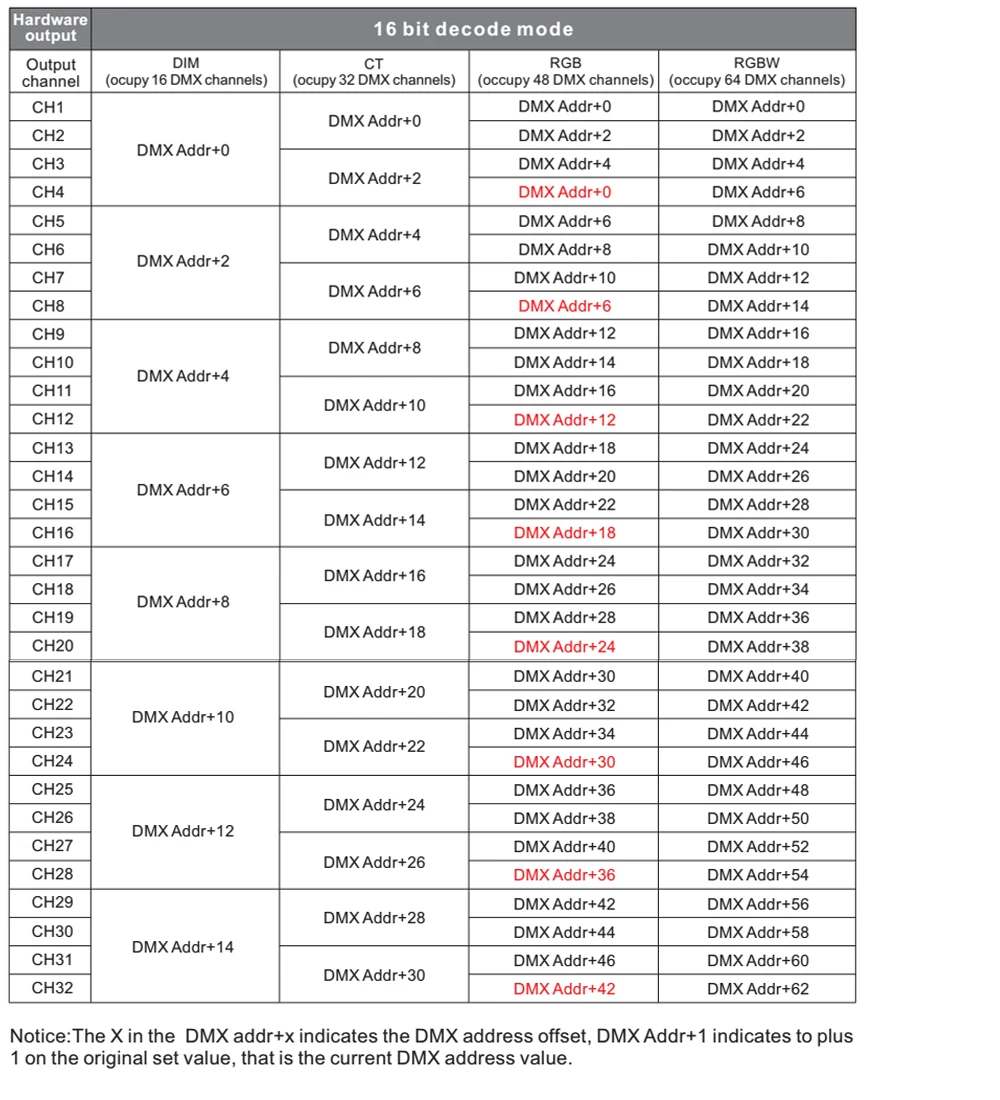
Этот DMX512 постоянное напряжение декодер разработан только для постоянное напряжение светодиодный ламп. Он использует передовую технологию управления микрокомпьютером для передачи сигнала DMX512/1990 на сигнал PWM. 32 канала выхода, макс 3 А каждый канал, 65536 серые весы, пригодные для одного цвета, цветовая температура, RGB и Светодиодная лампа RGBW.
Основные особенности:
1. Поддержка функции RDM.
2. Дополнительная Выходная частота 1K,2K,4K,8K.
3. Выходная гамма-Кривая может быть скорректирована.
4. Декодирование DMX поддерживает 8 бит или 16 бит.
5. Oled-дисплей.
6. Выход 32 каналов.
7. Функция сохранения данных при отключении питания.
Характеристики:
Модель | Декодер 32CH DMX512 |
Входное напряжение | DC5V-24V |
Максимальный ток нагрузки | 3A/CHx32, Max 96A |
Максимальная выходная мощность | 480 Вт (5 В)/1152 Вт (12 В)/2304 Вт (24 В) |
Уровни шкалы | 65536 уровней |
Входной сигнал | DMX512/RDM, 8 бит, 16 бит опционально |
Выходной сигнал | PWMx32CH постоянное напряжение |
Декодирующий канал | 32CH |
Гнездо DMX512 | XLR-3R/ Rj45/клеммный блок |
Режим управления | DIM /CT /RGB /RGBW переключатель 4 режимов |
Размеры | L195 x W145 x H38 (мм) |
Вес (G.W) | 810 г |
Интерфейс:

Схема соединения:

Инструкция по эксплуатации:





Посылка:
1 шт. BC-632 32 каналов DMX декодер тусклый/CT/RGB/RGBW контроллер

Смотрите так же другие товары: